Номер 897 - ГДЗ Алгебра 8 класс. Мерзляк, Полонский. Учебник. Страница 223

Вернуться к содержанию учебника

Упражнения для повторения курса алгебры 8 класса. Страница 223

894 895 896 897 898 899 900

Вопрос

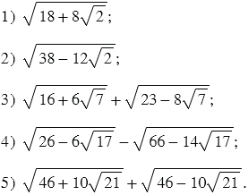
Упростите выражение:

Подсказка

Ответ


Вернуться к содержанию учебника