Номер 894 - ГДЗ Алгебра 8 класс. Мерзляк, Полонский. Учебник. Страница 223

Вернуться к содержанию учебника

Упражнения для повторения курса алгебры 8 класса. Страница 223

891 892 893 894 895 896 897

Вопрос

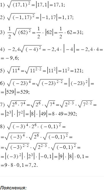
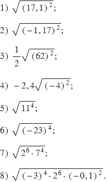
Найдите значение выражения:

Подсказка

Ответ


Вернуться к содержанию учебника