Номер 896 - ГДЗ Алгебра 8 класс. Мерзляк, Полонский. Учебник. Страница 223

Вернуться к содержанию учебника

Упражнения для повторения курса алгебры 8 класса. Страница 223

893 894 895 896 897 898 899

Вопрос

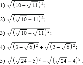
Упростите выражения:

Подсказка

Вспомните:

  1. Что называют арифметическим квадратным корнем.
  2. Что такое модуль числа.
  3. Какую степень числа называют квадратом.
  4. Свойства арифметического квадратного корня.
  5. Какие числа называют противоположными.

Ответ


Вернуться к содержанию учебника