Номер 396 - ГДЗ Алгебра 8 класс. Мерзляк, Полонский. Учебник. Страница 101

Вернуться к содержанию учебника

Упражнения § 12. Страница 101

393 394 395 396 397 398 399

Вопрос

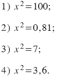
Решите уравнение:

Подсказка

Ответ


Вернуться к содержанию учебника