Номер 393 - ГДЗ Алгебра 8 класс. Мерзляк, Полонский. Учебник. Страница 101

Вернуться к содержанию учебника

Упражнения § 12. Страница 101

390 391 392 393 394 395 396

Вопрос

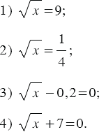
Решите уравнение:

Подсказка

Вспомните:

  1. Что называют арифметическим квадратным корнем числа.
  2. Как обозначают арифметический квадратный корень из числа.
  3. Что такое степень числа.
  4. Что такое квадрат числа.
  5. Что такое уравнение.
  6. Что называют корнем уравнения.
  7. Свойства уравнений.

Ответ


Вернуться к содержанию учебника