Номер 399 - ГДЗ Алгебра 8 класс. Мерзляк, Полонский. Учебник. Страница 102

Вернуться к содержанию учебника

Упражнения § 12. Страница 102

396 397 398 399 400 401 402

Вопрос

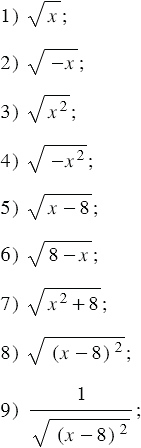
При каких значениях имеет смысл выражение:

Подсказка

Вспомните:

  1. Что называют арифметическим квадратным корнем числа.
  2. Как обозначают арифметический квадратный корень из числа.
  3. Как называют выражение, стоящее под радикалом.
  4. Что такое степень числа.
  5. Что такое квадрат числа.
  6. Какие числа называют неотрицательными.
  7. Что такое модуль числа.
  8. Рациональная дробь.
  9. Допустимые значения переменных.

Ответ


Вернуться к содержанию учебника