Вернуться к содержанию учебника
Страница 125
719 720 721 722 723 724 725 726 727 728 729
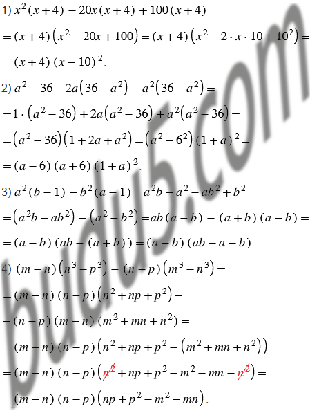
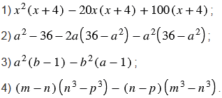
Представьте в виде произведения выражение:
Вспомните: