Умножение одночлена на многочлен

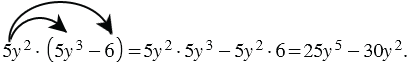
Умножим одночлен на многочлен .

Для этого составим их произведение и, используя распределительное свойство умножения, преобразуем его. Для этого умножим одночлен на каждый член многочлена и сложим результаты:

То есть произведение одночлена и многочлена мы представили в виде многочлена .

Вообще, произведение одночлена и многочлена всегда можно представить в виде многочлена. При умножении одночлена на многочлен пользуются правилом:

Чтобы умножить одночлен на многочлен, нужно умножить этот одночлен на каждый член многочлена и полученные произведения сложить.

Приведённое правило позволяет умножать многочлен на одночлен, так как для произведения одночлена и многочлена справедливо переместительное свойство умножения относительно сложения и вычитания.

Советуем посмотреть:

Введение в алгебру

Линейное уравнение с одной переменной

Решение задач с помощью уравнений

Тождественно равные выражения. Тождества

Степень с натуральным показателем

Свойства степени с натуральным показателем

Одночлены

Многочлены

Сложение и вычитание многочленов

Умножение многочлена на многочлен

Разложение многочленов на множители

Формулы сокращенного умножения

Рациональные выражения

Функции

Квадратные корни. Дейстительные числа

Квадратные уравнения

Системы линейных уравнений с двумя переменными

Элементы математической логики

Алгебра

Правило встречается в следующих упражнениях:

7 класс

Номер 362, Мерзляк, Полонский, Якир, Учебник

Номер 372, Мерзляк, Полонский, Якир, Учебник

Номер 383, Мерзляк, Полонский, Якир, Учебник

Номер 393, Мерзляк, Полонский, Якир, Учебник

Номер 412, Мерзляк, Полонский, Якир, Учебник

Номер 582, Мерзляк, Полонский, Якир, Учебник

Номер 593, Мерзляк, Полонский, Якир, Учебник

Номер 613, Мерзляк, Полонский, Якир, Учебник

Номер 685, Мерзляк, Полонский, Якир, Учебник

Номер 743, Мерзляк, Полонский, Якир, Учебник

8 класс

Номер 49, Мерзляк, Полонский, Якир, Учебник

Номер 64, Мерзляк, Полонский, Якир, Учебник

Номер 104, Мерзляк, Полонский, Якир, Учебник

Номер 105, Мерзляк, Полонский, Якир, Учебник

Номер 170, Мерзляк, Полонский, Якир, Учебник

Номер 171, Мерзляк, Полонский, Якир, Учебник

Номер 184, Мерзляк, Полонский, Якир, Учебник

Номер 434, Мерзляк, Полонский, Якир, Учебник

Номер 619, Мерзляк, Полонский, Якир, Учебник

Номер 630, Мерзляк, Полонский, Якир, Учебник