Номер 723 - ГДЗ Алгебра 7 класс. Мерзляк, Полонский. Учебник. Страница 125

Вернуться к содержанию учебника

Страница 125

720 721 722 723 724 725 726

Вопрос

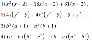
Разложите на множители:

Подсказка

Ответ


Вернуться к содержанию учебника