Вернуться к содержанию учебника
Упражнения §14. Страница 116
462 463 464 465 466 467 1 2 3 4 5
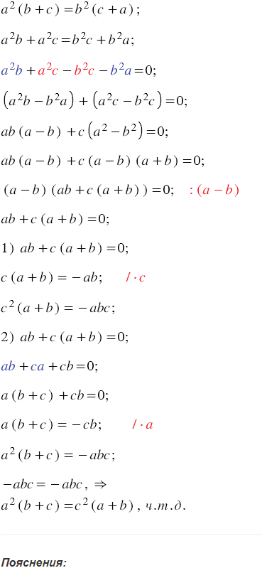
Попарно различные числа , , удовлетворяют условию Докажите, что
Вспомните: