Номер 358 - ГДЗ Алгебра 8 класс. Мерзляк, Полонский. Учебник. Страница 92

Вернуться к содержанию учебника

Упражнения § 11. Страница 92

355 356 357 358 359 360 361

Вопрос

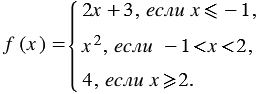
Дана функция

1) Найдите

2) Постройте график данной функции.

Подсказка

Ответ


Вернуться к содержанию учебника