Номер 356 - ГДЗ Алгебра 8 класс. Мерзляк, Полонский. Учебник. Страница 92

Вернуться к содержанию учебника

Упражнения § 11. Страница 92

353 354 355 356 357 358 359

Вопрос

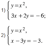
Определите графически количество решений системы уравнений:

Подсказка

Ответ


Вернуться к содержанию учебника