Номер 8 - ГДЗ Алгебра 8 класс. Мерзляк, Полонский. Учебник. Страница 49

Вернуться к содержанию учебника

Задание №2 "Проверь себя". Страница 49

5 6 7 8 9 10 11

Вопрос

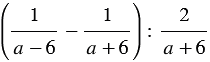
Упростите выражение .

Подсказка

Вспомните:

  1. Что называют тождественным преобразованием, сокращение дробей.
  2. Какую дробь называют рациональной.
  3. Порядок выполнения действий.
  4. Сложение и вычитание рациональных дробей с разными знаменателями.
  5. Сложение и вычитание рациональных дробей с одинаковыми знаменателями.
  6. Умножение и деление рациональных дробей.
  7. Подобные слагаемые, правила раскрытия скобок.
  8. Противоположные числа.
  9. Правила сложения рациональных чисел.
  10. Правило вычитания рациональных чисел.

Ответ

5 6 7 8 9 10 11


Вернуться к содержанию учебника