Номер 5 - ГДЗ Алгебра 8 класс. Мерзляк, Полонский. Учебник. Страница 49

Вернуться к содержанию учебника

Задание №2 "Проверь себя". Страница 49

2 3 4 5 6 7 8

Вопрос

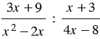
Упростите выражение .

Подсказка

Вспомните:

  1. Какие дроби называют рациональными.
  2. Деление и умножение рациональных дробей (обратные дроби).
  3. Сокращение рациональных дробей.
  4. Степень с натуральным показателем.
  5. Свойства степени с натуральным показателем.
  6. Разложение многочленов на множители.
  7. Распределительное свойство умножения.

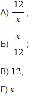
Ответ

2 3 4 5 6 7 8


Вернуться к содержанию учебника