Номер 934 - ГДЗ Алгебра 8 класс. Мерзляк, Полонский. Учебник. Страница 227

Вернуться к содержанию учебника

Упражнения для повторения курса алгебры 8 класса. Страница 227

931 932 933 934 935 936 937

Вопрос

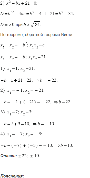
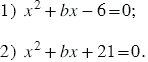
Найдите все целые значения , при  которых имеет целые корни уравнение:

Подсказка

Вспомните:

  1. Что такое уравнение.
  2. Что называют корнем уравнения.
  3. Какое уравнение называют квадратным.
  4. Что называют дискриминантом квадратного уравнения.
  5. Теорему, обратную теореме Виета.
  6. Сложение, вычитание, умножение и деление рациональных чисел.

Ответ


Вернуться к содержанию учебника