Номер 912 - ГДЗ Алгебра 8 класс. Мерзляк, Полонский. Учебник. Страница 225

Вернуться к содержанию учебника

Упражнения для повторения курса алгебры 8 класса. Страница 225

909 910 911 912 913 914 915

Вопрос

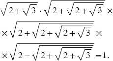
Докажите, что:

Подсказка

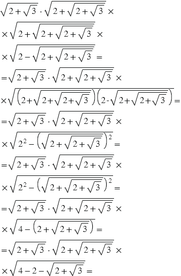
Ответ


Вернуться к содержанию учебника