Номер 697 - ГДЗ Алгебра 8 класс. Мерзляк, Полонский. Учебник. Страница 171

Вернуться к содержанию учебника

Упражнения §20. Страница 171

694 695 696 697 698 699 700

Вопрос

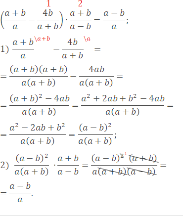
Упростите выражение:

Подсказка

Ответ


Вернуться к содержанию учебника