Вернуться к содержанию учебника
Упражнения §16. Страница 131
503 504 505 506 507 508 509 510 511 512 513
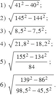
Найдите значение выражения:
Вспомните: