Номер 412 - ГДЗ Алгебра 8 класс. Мерзляк, Полонский. Учебник. Страница 103

Вернуться к содержанию учебника

Упражнения § 12. Страница 103

409 410 411 412 413 414 415

Вопрос

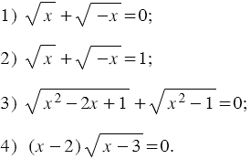
Решите уравнение:

Подсказка

Ответ


Вернуться к содержанию учебника