Вернуться к содержанию учебника
Упражнения § 3. Страница 22
68 69 70 71 72 73 74 75 76 77 78
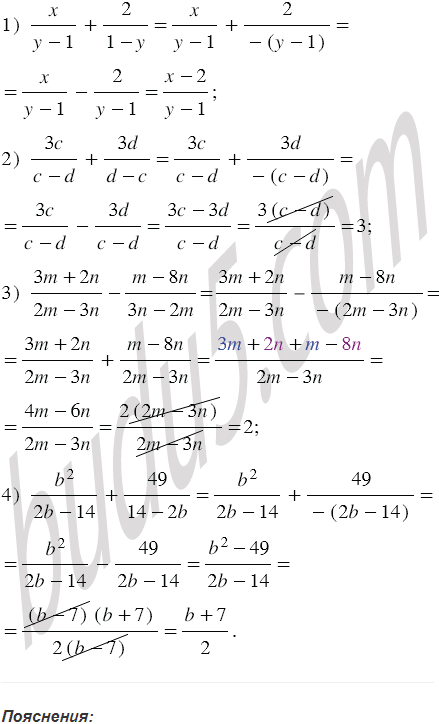
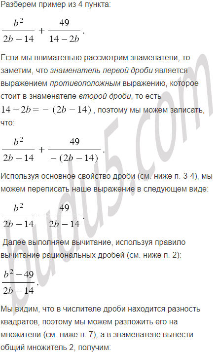
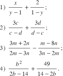
Упростите выражение:
Вспомните: