Вернуться к содержанию учебника
Упражнения § 2. Страница 18
51 52 53 54 55 56 57 58 59 60 61
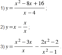
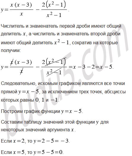
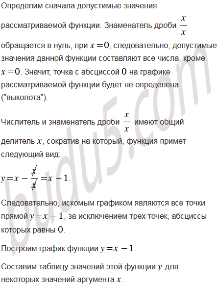
Постройте график функции:
Вспомните: