Номер 6 - ГДЗ Алгебра 8 класс. Мерзляк, Полонский. Учебник. Страница 8

Вернуться к содержанию учебника

Упражнения § 1. Страница 8

3 4 5 6 7 8 9

Вопрос

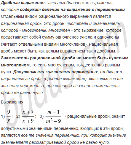
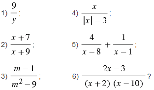
При каких значениях переменной имеет смысл выражение:

Подсказка

Вспомните:

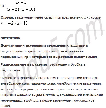
  1. Какие значения переменных называют допустимыми, дробные выражения (рациональные дроби).
  2. Деление и дроби.
  3. Степень с натуральным показателем.
  4. Модуль числа.
  5. Свойства умножения.
  6. Сложение и вычитание рациональных чисел.
  7. Что называют многочленом.
  8. Что называют одночленом.
  9. Какие выражения называют целыми.

Ответ

3 4 5 6 7 8 9


Вернуться к содержанию учебника