Номер 2. Задание "Проверь себя" №1 - ГДЗ Алгебра 7 класс. Мерзляк, Полонский. Учебник. Страница 27

Вернуться к содержанию учебника

Задание "Проверь себя" №1. Страница 27

1 2 1 2 3 4 5

Вопрос

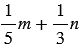
Найдите значение выражения , если = 35, = 18.

А) 1          Б) 2         В) 3          Г) 4

Подсказка

Вспомните:

  1. Числовые и буквенные выражения.
  2. Порядок выполнения действий.
  3. Правила умножения рациональных чисел.
  4. Правила сложения рациональных чисел.
  5. Модуль числа.
  6. Умножение обыкновенных дробей.
  7. Деление и дроби.

Ответ

1 2 1 2 3 4 5


Вернуться к содержанию учебника