Вернуться к содержанию учебника
1251 1252 1253 1254 1255 1256 1257 1258 1259 1260 1261
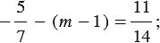
№1256 учебника 2011-2017 (стр. 220):
Решите уравнение:
а)
б)
в)
г)
д)
Вспомните: