Теорема
| Площадь прямоугольника равна произведению его смежных сторон. |
Дано: прямоугольник,
,
- стороны,
- площадь.
Доказать:
.
Доказательство:

Достроим прямоугольник до квадрата со стороной
.

Площадь квадрата равна квадрату его стороны, значит, площадь полученного квадрата равна
.
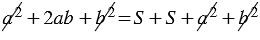
При этом полученный квадрат составлен из данного прямоугольника с площадью
, равного ему прямоугольника с площадью
(равные многоугольники имеют равные площади) и двух квадратов с площадями
и
(т.к. площадь квадрата равна квадрату его стороны). По свойству 20 площадей, которое говорит о том, что если многоугольник составлен из нескольких многоугольников, то его площадь равна сумме площадей этих многоугольников, получаем:
или
, откуда
.
Теорема доказана.
Понятие площади многоугольника
Теорема, обратная теореме Пифагора
7 класс
Задание 452, Атанасян, Бутузов, Кадомцев, Позняк, Юдина, Учебник
Задание 453, Атанасян, Бутузов, Кадомцев, Позняк, Юдина, Учебник
Задание 454, Атанасян, Бутузов, Кадомцев, Позняк, Юдина, Учебник
Задание 455, Атанасян, Бутузов, Кадомцев, Позняк, Юдина, Учебник
Задание 456, Атанасян, Бутузов, Кадомцев, Позняк, Юдина, Учебник
Задание 457, Атанасян, Бутузов, Кадомцев, Позняк, Юдина, Учебник
Задание 467, Атанасян, Бутузов, Кадомцев, Позняк, Юдина, Учебник
Задание 1236, Атанасян, Бутузов, Кадомцев, Позняк, Юдина, Учебник
Задание 4, Атанасян, Бутузов, Кадомцев, Позняк, Юдина, Учебник
Задание 18, Атанасян, Бутузов, Кадомцев, Позняк, Юдина, Учебник